新闻中心column
联系我们
contact us
13892756036
宝鸡市防水协会官网
电话:0917-3618848
QQ:360612198
邮箱:360612198@qq.com
地址:宝鸡市体育厂3楼
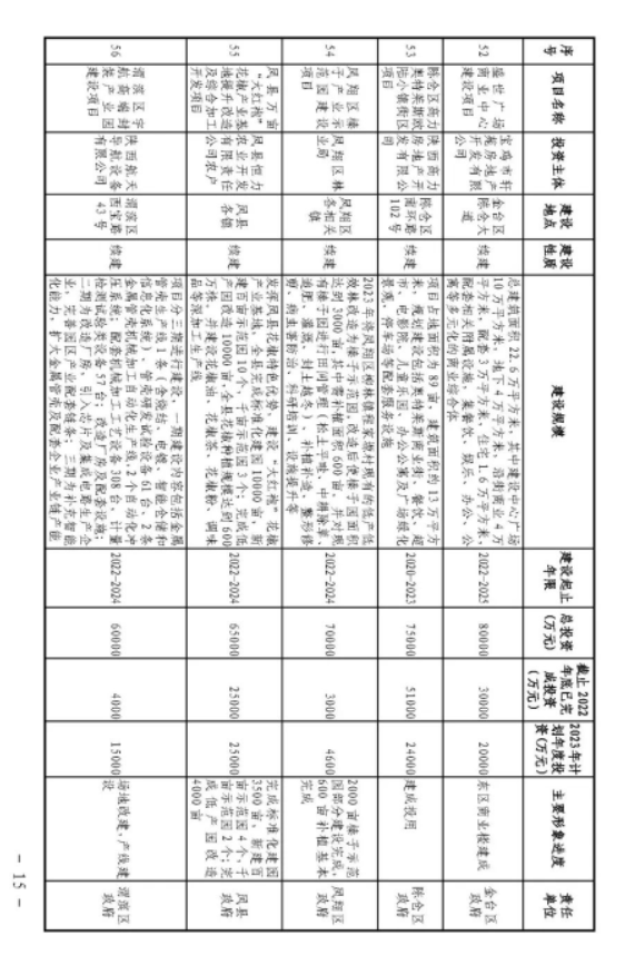
转发:宝鸡市2023年市级重点项目计划
添加时间:2023-04-13 作者:网站编辑员











































宝鸡市防水协会官网
电话:0917-3618848
QQ:360612198
邮箱:360612198@qq.com
地址:宝鸡市体育厂3楼










































